55万方全能型微城市
全精装社区打造 上海城市更新典范
徐泾C位出道 首战日光
『虹桥灿耀星城』
售楼处电话:400-7652-669
案场限流 看房提前来电预约登记
三期 少量房源清盘抢购中!
总价422万起
不要积分 不用摇号 直接购买!
抄底大虹桥5.0超新星
超低能耗 高标精装 开放式阳台
宝藏神盘打造虹桥置业 性价比天花板!

编辑
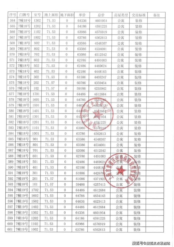
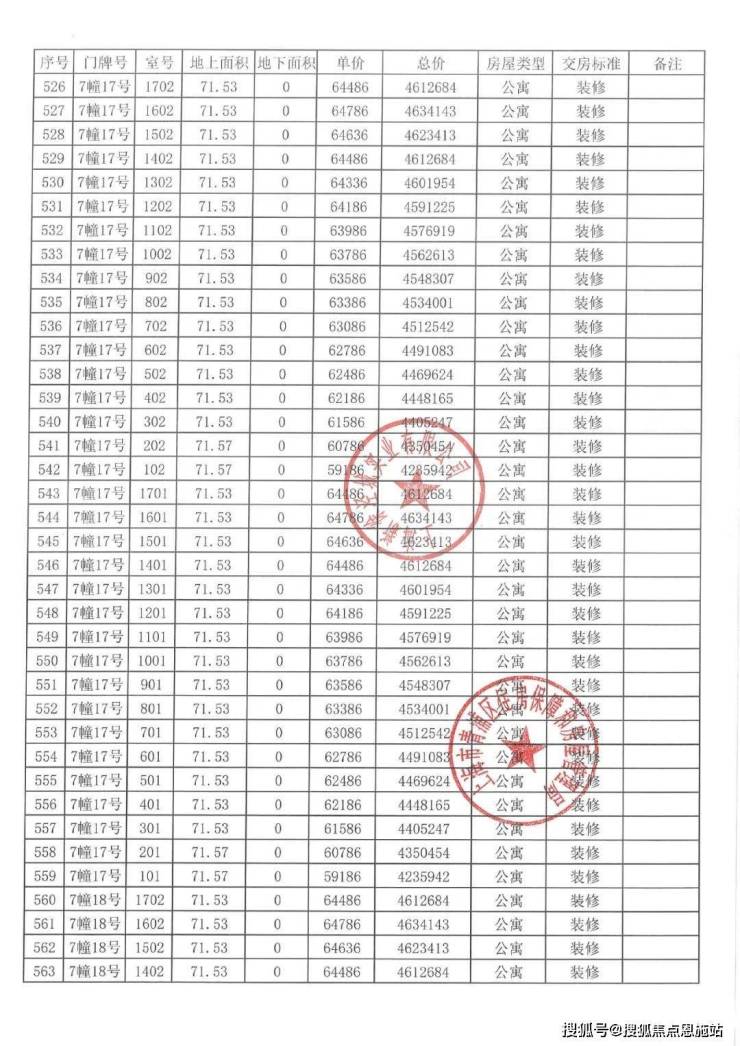
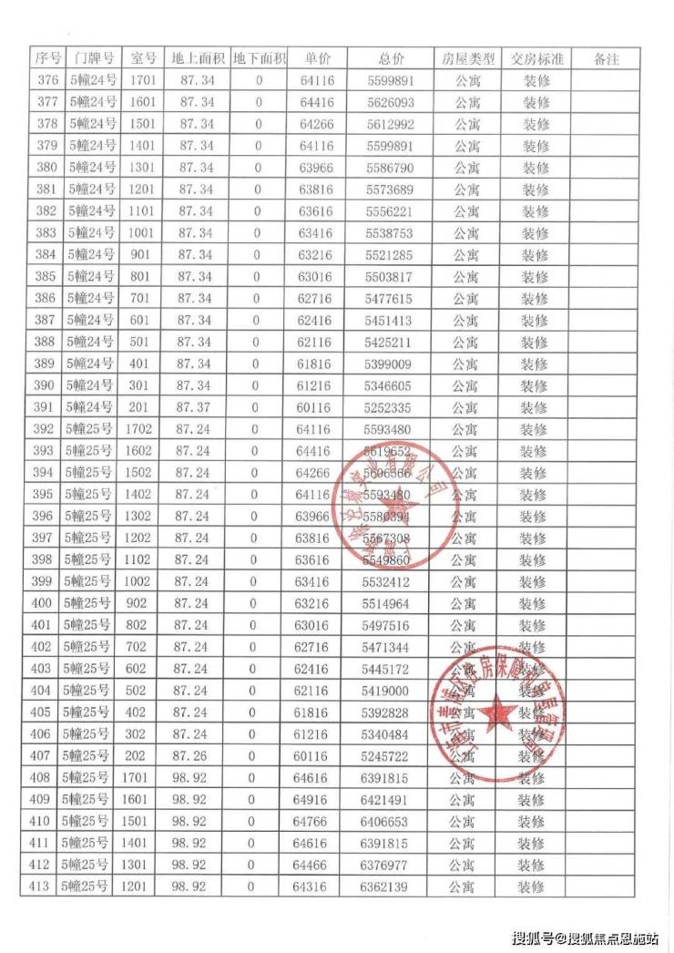
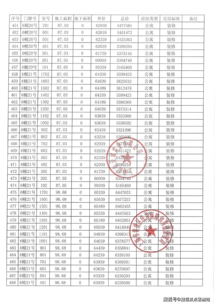
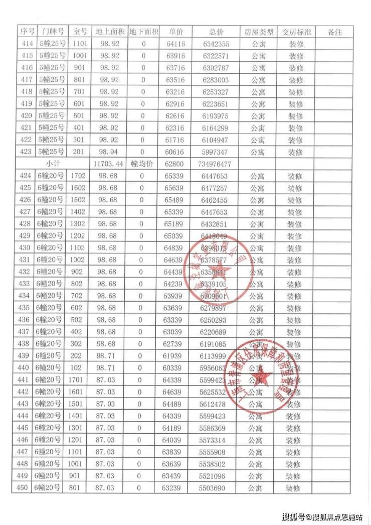
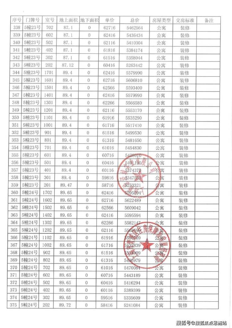
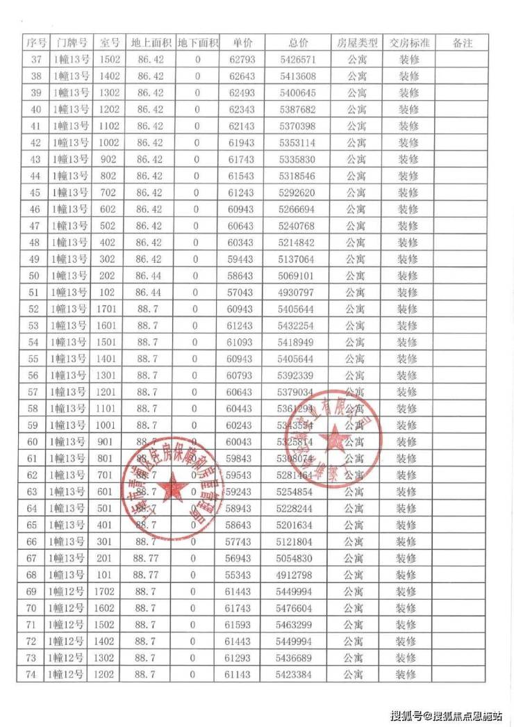
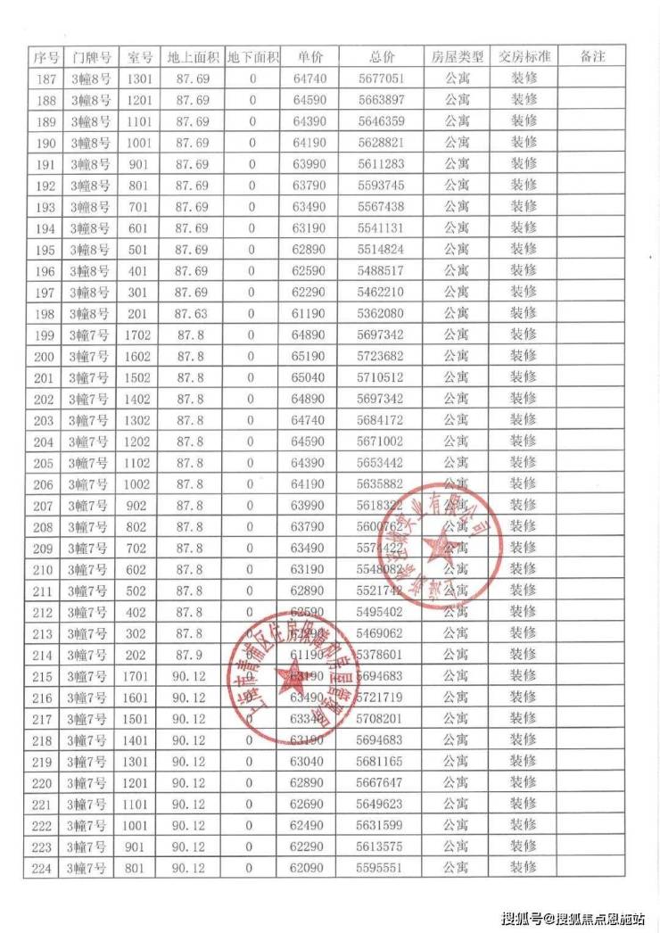
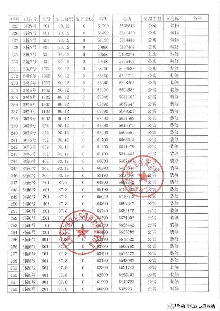
以下为项目完整一房一价表👇

编辑

编辑

编辑

编辑

编辑

编辑

编辑

编辑

编辑

编辑

编辑

编辑

编辑

编辑

编辑

编辑

编辑


编辑
尽管 虹桥·灿耀星城二期项目轻松“日光”,但 在三期项目的打造上,灿辉国际仍然坚持产品水准的 进一步升级!
在技术层面上, 虹桥·灿耀星城大虹桥首个超低能耗住宅,属于大虹桥乃至整个上海的绿色建筑领跑者,建筑立面都采用低耗节能的新型材料!此外 全方位降噪、恒温恒湿、新风系统等一系列技术的引入,为业主带来更经济、健康、舒适的居住体验!


编辑
除了建筑科技, 虹桥·灿耀星城在审美和景观打造方面也独树一帜。其中,社区园林由笛东大师执笔,规划设计了星阙、星河、星野、星际、星云、星荟 六大主题园林盛境!
结合 虹桥·灿耀星城现代简约风格的建筑立面,真石漆、蓝眼睛石材、浅灰色铝板等纯净材质与园林景观相映成趣,让每一次归家都成为赏心悦目的旅程。

编辑


编辑
在室内空间的营造上, 虹桥·灿耀星城也呈现出低调却难掩精致的匠心水准!首先,全部户型 3.15米的层高直接比肩顶级豪宅标准!其次,室内精装所选用具也均为 高仪、TOTO、博世等一线品牌,纵观整个大虹桥板块,也属于顶级配置!
而在户型设计方面, 72-98平米全生命周期臻装产品,既考虑到了刚需人群的置业门槛,也照顾到改善乃至高端人群的进阶需求,呈现出高水准人性化的产品理念!

编辑


编辑
灿辉国际,上海青浦的本土房企,虽然不是人尽皆知,但只要接触过ta开发的项目,就能感受到满满的诚意与用心,即便是城市更新这样困扰一线城市多年的老命题,灿辉也给出了令人耳目一新的答卷!


编辑


编辑
作为青浦徐泾的新房项目,主打大虹桥概念几乎是营销的日常。然而灿辉国际的理念却早早从“嫁入豪门”转向了“打造豪门”。自1994年成立至今,灿辉 在徐泾板块深耕了近30年!
实景图


编辑
除了动迁社区,灿辉还为徐泾打造了 酒店、公园等一系列城市公建,以及 全国范围内唯一一个和政府以及联合国合作共同参与的产业园!可以说青浦徐泾从静待城市更新的老市镇,到今天的大虹桥核心,灿辉的努力功不可没!
实景图


编辑


编辑
目睹了 虹桥·灿耀星城在城市更新中一步一个脚印的优异表现和一流品质,不禁让人对其商品房项目的水准有了更多期待! 虹桥·灿耀星城也用优秀的选址和首战日光的传奇,在上海楼市写下了属于自己浓墨重彩的一笔!
作为上海规划发展的重要引擎,大虹桥无疑是西上海楼市倍受市场关注的区域。然而即便同为大虹桥辐射区,区位的选择也是一门考验眼光的技术活。
多数开发项目以距离虹桥枢纽的距离为价值衡量标准。但对于居住便利考量为先的住宅而言,紧贴交通枢纽和商务区所带来的 高房价与居住体验的提升是否成正比,是一个值得思考的问题。
而 虹桥·灿耀星城选择的徐泾国际别墅社区,在 保持与虹桥枢纽两站地铁约20分钟车程的适中距离基础上,兼顾了日常生活的便利。
项目门前 步行5分钟范围内,虹桥食尚天地、永业购物中心、徐泾菜市场等配套密布,加上 项目自带的9万方商业,可以说是目前虹桥核心区的新盘项目中生活便利度非常高的项目。

编辑
教育医疗方面, 出门5-10分钟范围内,公立徐泾幼儿园、徐泾中小学,私立德国学校,公立徐泾卫生服务中心、私立上海德达医院选择多元。


编辑
如果将通勤范围扩大到20分钟,更有 青浦世外小学、复旦大学附属华山医院(西院)等优质资源可选。这样地段与生活兼顾的C位可谓虹桥孤品!


编辑
当然,再多的夸耀也比不过市场的认可,深耕徐泾的 虹桥·灿耀星城一期为回迁项目,二期商品房项目一经推出就获得了市场追捧。
项目2021年开盘当天仅 4小时就实现503套房源售罄!还有前期超900组的认筹,仅 认筹金额就高达9亿!谱写了当年大虹桥楼市的日光传奇!

编辑
而今, 虹桥·灿耀星城在售三期项目持续热销的同时, 大虹桥核心区域的住宅项目也正 面临供应断档,而像 虹桥·灿耀星城这样 兼顾大虹桥概念,又可直接入住生活无忧的项目更是区域内稀缺的存在!而随着灿辉国际针对徐泾的城市更新的不断深入, 虹桥·灿耀星城的含金量与楼市价值仍在与日俱增!
随着 虹桥·灿耀星城三期的推出,灿辉在徐泾的整体规划也已逐步落地。围绕 虹桥·灿耀星城展开的多元城市体 总体量达55万方!涵盖品质住宅、精品酒店、活力商业、现代办公、幼儿园、养老院等丰富业态!

编辑
其中, 区域内唯一一家5星级的希尔顿酒店业已建成营业,将 虹桥·灿耀星城周边的商业氛围提升到全新高度!
同时,项目侧对面,由灿辉负责代建的约 4.6万方的两大绿地公园也正一一兑现,加上前文提及的9万方自带商业,使得 虹桥·灿耀星城一步步成长为 全能型微城市,与徐泾已有的配套资源相辅相成,构建起大虹桥核心区倍具生活气息的居住板块!

编辑
55万方全能型微城市
全精装社区打造 上海城市更新典范
徐泾C位出道 首战日光
虹桥·灿耀星城
三期 少量房源清盘抢购中!
总价422万起
不要积分 不用摇号 直接购买!
抄底大虹桥5.0超新星
超低能耗 高标精装 开放式阳台
宝藏神盘打造虹桥置业 性价比天花板!
『虹桥灿耀星城』
售楼处电话:400-7652-669
案场限流 看房提前来电预约登记
温馨提示:如有问题欢迎来电咨询,可预约案场内部销售人员,专业一对一热情服务,让您用专业眼光去买房